OpenAI представила o3 и o4-mini: не просто обновления, а новая эра ChatGPT
OpenAI o3 и o4-mini: Модели, которые «думают» как эксперты
Компания OpenAI представила модели нового поколения — o3 и o4-mini, обученные дольше анализировать задачи перед ответом. Это не просто умные алгоритмы, а первые ИИ-агенты, которые самостоятельно комбинируют все инструменты ChatGPT: веб-поиск, анализ файлов через Python, генерацию изображений и визуальную логику. Теперь они решают многоуровневые проблемы менее минуты, устанавливая новый стандарт полезности ИИ для науки, бизнеса и образования.
Компания OpenAI представила модели нового поколения — o3 и o4-mini, обученные дольше анализировать задачи перед ответом. Это не просто умные алгоритмы, а первые ИИ-агенты, которые самостоятельно комбинируют все инструменты ChatGPT: веб-поиск, анализ файлов через Python, генерацию изображений и визуальную логику. Теперь они решают многоуровневые проблемы менее минуты, устанавливая новый стандарт полезности ИИ для науки, бизнеса и образования.
OpenAI o3 — новый топовый ИИ
Модель o3: максимум возможностей для сложных задач
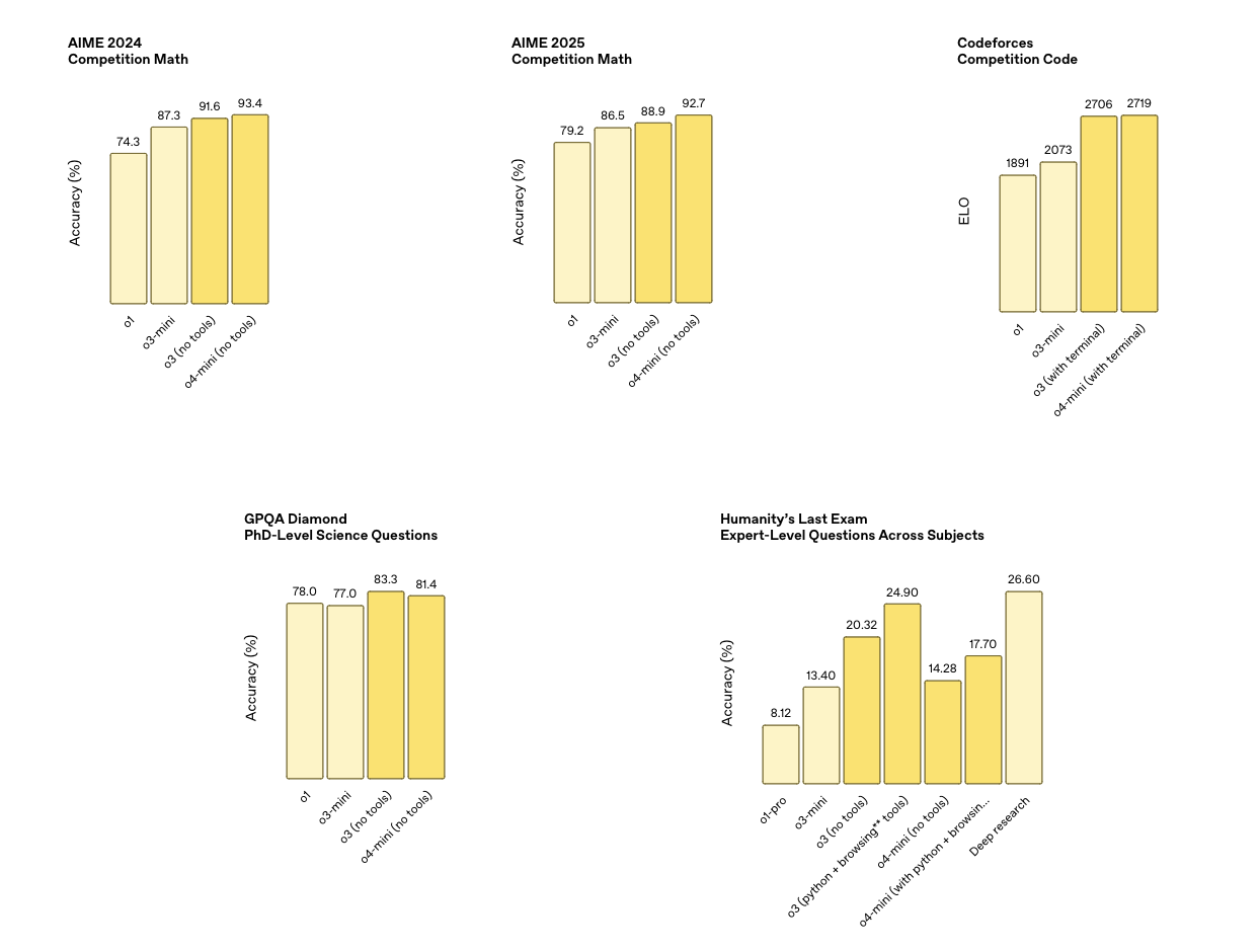
o3 стал флагманом OpenAI, превзойдя o1 по всем параметрам:
- На 20% меньше ошибок в реальных сценариях: от создания бизнес-стратегий до биоинженерии.
- Рекордные результаты:
- Codeforces Elo 2706 (программирование).
- 26.6% в тесте GPQA (научные дисциплины).
- 87.5% в визуальном анализе (MMMU).
- Мультимодальность: анализ изображений, создание графиков, решение уравнений, работа с текстом и визуалом.
- Полный доступ к инструментам: веб-браузинг, Python, загрузка файлов и генерация изображений в одном потоке.
Пример промпта: «Создай 3D-модель молекулы белка и объясни её взаимодействие с лекарством» → o3 анализирует базы данных, строит визуализацию и пишет выводы на уровне научной статьи.
Для кого? Для пользователей ChatGPT Plus/Pro, которым нужна максимальная точность и многозадачность.
o4-mini — скорость и эффективность
Модель o4-mini: умный и экономичный вариант
o4-mini создан для тех, кто ценит скорость без потерь в качестве:
- 99.5% в тесте AIME (математика с Python).
- Лучший в своем классе для STEM и гуманитарных задач.
- Эффективен в гуманитарных задачах: анализ текстов, прогнозирование трендов, подготовка презентаций.
- На 30% быстрее обрабатывает запросы, чем o3-mini.
- Дешевле для массового использования, но сохраняет высокий интеллект.
Пример промта: «Проанализируй CSV-файл с продажами и предложи оптимизацию» → o4-mini строит графики, выявляет аномалии и генерирует отчет на естественном языке.
Для кого? Для стартапов, образовательных платформ и разработчиков, которым нужен быстрый и доступный ИИ.
Главная инновация — автономное мышление
ИИ сам решает, как ответить: зачем это нужно?
Раньше ChatGPT требовал указаний для использования инструментов. Теперь o3 и o4-mini анализируют задачу и выбирают оптимальное решение:
- Определяют, нужен ли веб-поиск для точности.
- Запускают код, если требуется расчет.
- Генерируют изображения или графики по контексту.
Автономность + персонализация: как это работает?
- Комбинирование инструментов: ИИ сам выбирает, когда запустить Python, веб-поиск или DALL-E, чтобы дать точный ответ.
- Контекстная память: Модели ссылаются на прошлые диалоги, делая ответы персонализированными (например, учитывают предыдущие обсуждения темы).
- Проверяемые ответы: Добавление веб-источников и расчетов повышает доверие — каждый вывод можно перепроверить.
Цитата из релиза: «Это шаг к ChatGPT, который действует как независимый агент, а не просто отвечает на вопросы».
Это делает взаимодействие с ИИ более плавным и приближает к концепции «ИИ-ассистента».
Мнение экспертов
«Это крупнейший шаг со времен плагинов, но без сложностей»
Аналитики отмечают, что обновление меняет роль ChatGPT:
- Работает «из коробки» — не нужно настраивать инструменты.
- Экономит время: ИИ сам разбивает задачи на этапы.
- Пример: запрос «Объяснить глобальное потепление» теперь включает графики, свежие данные из сети и анализ исследований.
«OpenAI делает ИИ не просто собеседником, а реальным инструментом для работы», — заключают эксперты.
- Аналитик DeepTech: «o3 справляется с задачами, которые раньше требовали узкоспециализированных моделей. Его способность критически оценивать гипотезы меняет подход к исследованиям».
- Data Scientist из OpenAI: «o4-mini — прорыв в эффективности. Он доказывает, что маленькие модели могут конкурировать с гигантами, если правильно использовать инструменты».
Как попробовать?
Доступ к o3 и o4-mini: инструкция
- o3: доступен для подписчиков ChatGPT Plus и Pro.
- o4-mini: активируется через опцию «Think» в стандартной версии ChatGPT.
Обе модели уже интегрированы в платформу. Подробности — в официальном анонсе OpenAI.
ИИ будущего уже здесь: что дальше?
С o3 и o4-mini ИИ становится универсальным ассистентом: от решения олимпиадных задач до разработки продуктов. Главное преимущество — снижение зависимости от человеческого контроля. Но вопрос остается: готовы ли мы доверять алгоритмам критически важные решения?
Результаты первых тестов
Последние модели OpenAI — o3 и o4-mini — должны были лучше рассуждать, но вместо этого они чаще галлюцинируют (выдумывают).
Внутренние тесты показали уровень галлюцинаций до 48% — это вдвое выше, чем у предыдущих моделей, таких как o1 и o3-mini.
OpenAI признаёт, что до конца не понимает причин такого поведения.
Основная гипотеза: больше логики = больше утверждений = выше риск ошибок.
Сторонние исследователи также отмечали, что o3 добавляет шаги, которых никогда не было.
Если повысить уверенность модели, но не её эпистемологию (понимание достоверности знаний), галлюцинаций станет больше.
Мы часто считаем, что «умнее = безопаснее», но в ИИ более сложная логика может означать просто более убедительный вымысел.
Это напоминание о том, что способность рассуждать и надёжность не связана напрямую. Они нужны вместе, но не появляются одновременно.
Внутренние тесты показали уровень галлюцинаций до 48% — это вдвое выше, чем у предыдущих моделей, таких как o1 и o3-mini.
OpenAI признаёт, что до конца не понимает причин такого поведения.
Основная гипотеза: больше логики = больше утверждений = выше риск ошибок.
Сторонние исследователи также отмечали, что o3 добавляет шаги, которых никогда не было.
Если повысить уверенность модели, но не её эпистемологию (понимание достоверности знаний), галлюцинаций станет больше.
Мы часто считаем, что «умнее = безопаснее», но в ИИ более сложная логика может означать просто более убедительный вымысел.
Это напоминание о том, что способность рассуждать и надёжность не связана напрямую. Они нужны вместе, но не появляются одновременно.
